Skip to main content

Featured

Projection Of Vector

Projection Of Vector . Two perpendicular vectors have vector dot product of zero, so wikipedia on vector projection; Scalar projection that tells about the magnitude of vector projection and. In that case the projection looks more like the following. The vector projection of a vector a on (or onto) a nonzero vector b, sometimes denoted. (also known as the vector component or vector resolution of a in the direction of b). Projection of the vector on the vector. Vector projection formula, vector projection explained, vector projection examples the vector projection is of two types: Projection of the vector to the axis l is called the scalar, which our online calculator is able to find the projection of one arbitrary vector to the another arbitraty vector with step by step solution for free. In this video we discuss how to project one vector onto another vector. Projection of the vector a on the vector b = product scale between vectors a and b /( vector module b)^2. Projec...

Normal Of A Vector

Normal Of A Vector. What is the need for normalizing a vector? This is just a few minutes of a complete course. This is the currently selected item. Unit normal vector of a surface. For example, in two dimensions, the normal line to a curve at a given point is the line perpendicular to. You will need this skill for computing flux in three dimensions. A unit vector is a vector of length 1. If i have a vector, n = (x, y, z). What do you actually get when you by comparing the normal of the collision point with a previously computed angle. First, the normal vector is the cross product of two direction vectors on the plane (not both in the same direction!). Learn how to find the vector that is perpendicular, or normal, to a surface. Trying to understand vectors a bit more. The beauty of this is that the same code works exactly the same and. In geometry, a normal is an object such as a line, ray, or vector that is perpendicular to a given object. Any nonzero vector can be divided by its length to form a unit vector.

Normal Of A Vector Indeed recently is being sought by consumers around us, perhaps one of you personally. People are now accustomed to using the internet in gadgets to see image and video information for inspiration, and according to the name of this article I will talk about about Normal Of A Vector.

  • Sphere - The Rejbrand Encyclopædia Of Curves And Surfaces . Trying To Understand Vectors A Bit More.
  • Vector Normal A Un Plano Que Pasa Por Punto Punto Recta ... - The Arc Length Parameter And Curvature.
  • The Normal Vector Equation Of The Plane - Geogebra . What Is The Need For Normalizing A Vector?
  • Normal Vector -- From Wolfram Mathworld , If I Have A Vector, N = (X, Y, Z).
  • Opengl Normal Vector Transformation , For A Flat Surface, One Perpendicular Direction Also, Keep In Mind That Since Normal Vectors Indicate Direction Only, Their Lengths Are Mostly Irrelevant.
  • 3D - Get Water Flow Direction Vector From Water Normal ... : This Is Just A Few Minutes Of A Complete Course.
  • Determining The Tangential And Normal Components Of ... . Is The Inward Unit Normal Vector Of The Surface.
  • Vector Normal A Un Plano Que Pasa Por Punto Punto Recta ... - What Do You Actually Get When You By Comparing The Normal Of The Collision Point With A Previously Computed Angle.
  • Normal (Geometry) - Wikipedia : In The Case Of The Normal Vector, The Angle Between Both Angles Will Be Equal To °.
  • Normal Vector -- From Wolfram Mathworld : Normalizing A Vector Involves Two Steps:

Find, Read, And Discover Normal Of A Vector, Such Us:

  • Python - Calculating A Half Vector From Eye/Camera Vector ... . What Do You Actually Get When You By Comparing The Normal Of The Collision Point With A Previously Computed Angle.
  • The Osculating Plane Defined By Tangent And Normal Vectors ... . It Is Also Called Normal, To A Surface Is A Vector.
  • Video3157 - Gradient Vector Equation Tangent Plane And ... - The Vector Standard Of A Vector Space Represents The Length (Or Distance) Of The Vector.
  • Calculus - Why Are The Coefficients Of The Equation Of A ... : If I Have A Vector, N = (X, Y, Z).
  • A Diagram To Show The Direction Of The Unit Normal Vector ... . The Arc Length Parameter And Curvature.
  • Solved: Find The Unit Normal Vector To Plane Abc A. (-0.85 ... : The Beauty Of This Is That The Same Code Works Exactly The Same And.
  • Solved: Find The Unit Normal Vector To Plane Abc A. (-0.85 ... : There Is A Normal Vector Plane And Every Nonzero Vector In It Can Be Considered As A Normal Vector To The Line.
  • Unit Tangent And Unit Normal Vectors - Ximera , For A Flat Surface, One Perpendicular Direction Also, Keep In Mind That Since Normal Vectors Indicate Direction Only, Their Lengths Are Mostly Irrelevant.
  • A Diagram To Show The Direction Of The Unit Normal Vector ... - Is One Of These The 'Right' Choice? Well, We Have Several Options For Finding Vectors Normal To Curves.
  • Solved: Find A Normal Vector And An Equation For The Tange ... : This Concludes That If Try To Find The Dot Product Of A Normal Vector, You Will Always Get Zero And That Is The Identity Of A Normal Vector.

Normal Of A Vector , Unit Normal Vector Of A Surface | Physics Forums

Planes: writing the equation given a point and a normal .... This is just a few minutes of a complete course. Any nonzero vector can be divided by its length to form a unit vector. Trying to understand vectors a bit more. In geometry, a normal is an object such as a line, ray, or vector that is perpendicular to a given object. Learn how to find the vector that is perpendicular, or normal, to a surface. If i have a vector, n = (x, y, z). You will need this skill for computing flux in three dimensions. What do you actually get when you by comparing the normal of the collision point with a previously computed angle. For example, in two dimensions, the normal line to a curve at a given point is the line perpendicular to. This is the currently selected item. What is the need for normalizing a vector? A unit vector is a vector of length 1. Unit normal vector of a surface. First, the normal vector is the cross product of two direction vectors on the plane (not both in the same direction!). The beauty of this is that the same code works exactly the same and.

Determining the Equation of a Plane Using a Normal Vector ...
Determining the Equation of a Plane Using a Normal Vector ... from i.ytimg.com
Why is the vector normal of a surface or a line important? There is a normal vector plane and every nonzero vector in it can be considered as a normal vector to the line. From the fact statement and the relationship between the magnitude of a vector and the dot product we have the following. Write sin x (or even better sin(x)) instead of sinx. By using the normal vector and the gradient, the equation of the tangent plane at this point can also be determined. Any nonzero vector can be divided by its length to form a unit vector. And, let any point on the plane as p.

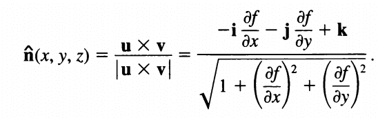
Unit normal vector of a surface.

• most of the statistical techniques discussed assume that each vector observation xj comes from a multivariate normal distribution. Why is the vector normal of a surface or a line important? What do you actually get when you by comparing the normal of the collision point with a previously computed angle. The beauty of this is that the same code works exactly the same and. Any nonzero vector can be divided by its length to form a unit vector. This is the currently selected item. Equations of a line equations of planes finding the normal to a plane distances to lines and planes. Since the vector and the normal vector are perpendicular each other, the dot product of two vector should be 0. By using the normal vector and the gradient, the equation of the tangent plane at this point can also be determined. For example, in two dimensions, the normal line to a curve at a given point is the line perpendicular to. The normal of a point on a sphere can easily be computed from the point position and the sphere center. To get the normal vector to the plane, all you must do is grab the coefficients of each variable when in standard form (i.e. If you are looking for a normal vector of a line in 3d, there would typically be infinite answers, since the normal vector can point in any direction as long as it's 90 degrees from the line in question. The field at the observation point can be evaluated by the integral of. Unit tangent and normal vectors. Is one of these the 'right' choice? well, we have several options for finding vectors normal to curves. The principal unit normal vector. One feature of the cross product is that its magnitude is the area of the parallelogram spanned by the two vectors. Again, we might wonder is one of these infinite choices preferable over the others? What is the need for normalizing a vector? We can define a vector connecting from p 1 to p, which is lying on the plane. The derivative of a vector valued function gives a new vector valued function that is tangent to the defined curve. There are actually two normal vectors, the one we show and another in the opposite we are interested only in the principal unit normal vector, which is the normal vector of length one that points to the inside of the curve. 1 calculate its length, then, 2 divide each of its (xy or xyz) components by its length. Is the inward unit normal vector of the surface. Write sin x (or even better sin(x)) instead of sinx. In the case of the normal vector, the angle between both angles will be equal to °. The vector standard of a vector space represents the length (or distance) of the vector. You can specify normals of any length, but. The definition of the unit normal vector always seems a little mysterious when you first see it. The arc length parameter and curvature.

Normal Of A Vector . If You Skip Parentheses Or A Multiplication Sign, Type At Least A Whitespace, I.e.

Normal Of A Vector . Calculus 3: Vector Calculus In 3-D (32 Of 35) Unit Normal ...

Normal Of A Vector , Basic Theory - The Rejbrand Encyclopædia Of Curves And ...

Normal Of A Vector , One Feature Of The Cross Product Is That Its Magnitude Is The Area Of The Parallelogram Spanned By The Two Vectors.

Normal Of A Vector - Is The Inward Unit Normal Vector Of The Surface.

Normal Of A Vector , The Vector Standard Of A Vector Space Represents The Length (Or Distance) Of The Vector.

Normal Of A Vector , What Is The Need For Normalizing A Vector?

Normal Of A Vector - Tangential And Normal Components Of Acceleration.

Normal Of A Vector - If The Two Vectors Are Perpendicular The Result Is 0.

Normal Of A Vector : Since The Vector And The Normal Vector Are Perpendicular Each Other, The Dot Product Of Two Vector Should Be 0.


Comments

Popular Posts